728x90
    
    
  반응형
    
    
    
  이번 포스팅에서는 외적과 내적을 비교해보도록 하겠습니다.
말로만 들으면 외적, 내적 비슷한거 아닌가? 생각이 드실 수 있습니다.
벡터의 곱은 두 가지로 정의 됩니다.
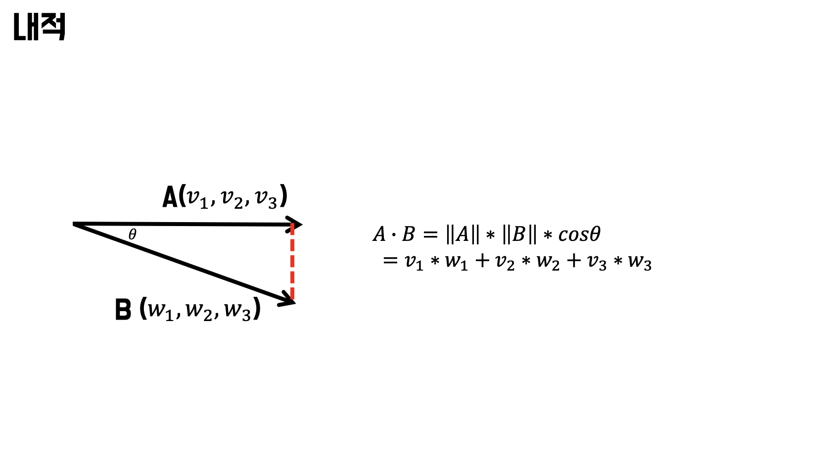
내적은 벡터를 수 처럼 곱합니다. 즉, 결과값이 스칼라로 나옵니다.
외적은 벡터간의 곱이며, 결과값 역시 벡터입니다. 외적은 '가위곱'이라고도 합니다.
수식비교


내적과 외적의 수식을 자세히 보시면 표시 기호 차이가 있습니다! 외적은 X, 내적은 ∙입니다.
의미도 간단하게 살펴보겠습니다.
내적의 의미는 "A의 방향으로 얼만큼 일했지?"이고, 외적의 의미는 "현재 두 벡터에 수직인 벡터가 뭐지?"입니다.
이름은 비슷하지만 두 "적"들은 서로 다른 의미를 가집니다.
반응형
    
    
    
  '인공지능공부 > 인공지능기초수학' 카테고리의 다른 글
| 가장 쉽게 설명하는 고유값과 고유벡터 (0) | 2025.03.17 | 
|---|---|
| 놈, 노름(Norm) (0) | 2023.02.20 | 
| 벡터의 외적 (0) | 2023.02.09 | 
| 코사인 유사도 (0) | 2023.02.03 | 
| 벡터의 내적 (0) | 2023.02.02 | 
728x90
    
    
  반응형
    
    
    
  이번 포스팅에서는 외적과 내적을 비교해보도록 하겠습니다.
말로만 들으면 외적, 내적 비슷한거 아닌가? 생각이 드실 수 있습니다.
벡터의 곱은 두 가지로 정의 됩니다.
내적은 벡터를 수 처럼 곱합니다. 즉, 결과값이 스칼라로 나옵니다.
외적은 벡터간의 곱이며, 결과값 역시 벡터입니다. 외적은 '가위곱'이라고도 합니다.
수식비교


내적과 외적의 수식을 자세히 보시면 표시 기호 차이가 있습니다! 외적은 X, 내적은 ∙입니다.
의미도 간단하게 살펴보겠습니다.
내적의 의미는 "A의 방향으로 얼만큼 일했지?"이고, 외적의 의미는 "현재 두 벡터에 수직인 벡터가 뭐지?"입니다.
이름은 비슷하지만 두 "적"들은 서로 다른 의미를 가집니다.
반응형
    
    
    
  '인공지능공부 > 인공지능기초수학' 카테고리의 다른 글
| 가장 쉽게 설명하는 고유값과 고유벡터 (0) | 2025.03.17 | 
|---|---|
| 놈, 노름(Norm) (0) | 2023.02.20 | 
| 벡터의 외적 (0) | 2023.02.09 | 
| 코사인 유사도 (0) | 2023.02.03 | 
| 벡터의 내적 (0) | 2023.02.02 |